数列问题 求通项公式的方法
1、观察法寻找规律。从下面的几个方面考虑:1.符号正负用(-1)的n次 或者 (-1)的n+1次调节2.分别观察奇偶数项的规律,可用分段函数表示通项公式3.联系等差,等比数列4.相邻项关系

2、公式法直接利用等比数列,等差数列公式即可

3、通过Sn求a n利用a n=S1(n=1时) ,a n=Sn-S(n-1) (n>=2时)注意对n是否等于1的讨论。

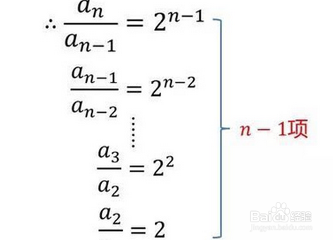
4、累乘法适用于a( n+1)=f(n)*a( n)类型的题目。解题割翌视扼思路:将原来的递推公式转化 成a(n)比a(n-1)=f(n-1)的形式,把n代入n-1,n-2…2,1。以此类推详情请私信!

5、累加法适用于a(n+1)=a(n)+g(n)题目把原来的递推公式转化为a(n)-a(n-1)这样的类型详情私信!

6、构造新数列沾咎悉能适用于a(n)=pa(n-1)+q p,q为常数新数列例如:a(n+1)=2a(n)+1 滤鲇魍童设ka(n+1)+k=2*(a(n)+k) 为使原式成立,k=1令b(n)=a(n)+1 则构造新数列出现判断新数列等比等差,应该可以先求出公比公差,首项,然后用公式表示这个数列的通项,代入原来的数列a(n),求出a(n)详情私信!
